| br>
如何提高初中生学习计算能力<-->新初三学生学习经验三大总结
十个出人意料的数学公式:
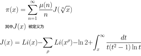
作者,Sean Li 。原文《10 Mind Blowing Mathematical Equations》 翻译,小米,哆嗒数学网翻译组成员。 很多时候,人们认为数学公式只是为了记忆来应付考试的。但有些时候,数学公式的价值却远超于此——它们本身就是艺术品,为纯粹的享受而生。今天我就收集了以此为目的的10个最惊人、眩目和疯狂的数学公式。这些方程应该能向任何人说明,数学不仅仅只是公式的记忆。 1. 欧拉恒等式  这是一个非常著名的恒等式。它给出了3个看似随机的量之间的联系:π、e和-1的平方根。许多人认为这是数学中最漂亮的公式。 一个更一般的公式是e^(ix) =cosx+isinx (a^b表示a的b次方,下同)。当x=π,cosx取值为-1,而isinx取值为0。由-1+1=0,我们得到了欧拉恒等式。 2. 欧拉乘积公式  等式左边的符号是无穷求和,而右边的符号则是无穷乘积。这个公式也是欧拉首先发现的。它联系了出现在等式左边的自然数(如n=1,2,3,4,5等等)与出现在等式右边的素数(如p=2,3,5,7,11等等)。而且我们可以选取s为任意大于1的数,并保证等式成立。 欧拉乘积公式的左边是黎曼ζ函数最常见的一种表示形式。 3. 高斯积分  函数e^(-x?2;)本身在积分中是很难对付的。可是当我们对它在整个实数轴上积分,也就是说从负 无穷到正无穷时,我们却得到了一个十分干净的答案。至于为什么曲线下面的面积是π的平方根,这可不是一眼就能看出来的。 由于这个公式代表了正态分布,它在统计中也十分重要。 4. 连续统的基数  上面的公式说明了实数集的基数与自然数全体子集的基数相同。这首先是被集合论的建立者康托尔证明的。值得注意的是,这也说明了连续统是不可数,因为2^N > N。 一个相关的假设是连续统假设。这个假设是说,在N和R之间不存在其它的基数。有趣的是,这个假设有一个奇怪的性质:它既不能被证明也不能被证伪。 5. 阶乘函数的解析延拓  阶乘函数通常被定义为n!=n(n-1)(n-2)……1。但是这个定义只对n是正整数时有效,而上面积分方程则对分数和小数也有效,而且还可以用于负数、复数等等…… 同样的积分式中我们把n换成n-1就定义了伽马函数。 6. 勾股定理  勾股定理恐怕是这个清单中最熟悉的公式了。它给出了直角三角形三边的联系,其中a和b是直角边长,而c是斜边长。这个公式还将三角形和正方形联系了起来。 7. 斐波那契数列的通项  这里,注意到φ这个数字是黄金分割比例。很多人可能听说过斐波那契数列(0,1,1,2,3,5,8,13,21,34,55…,数列中每一项是前两项的和),却很少人知道有一个公式能够计算出任意某一项斐波那契数:这就是上面我们给出的公式,公式里面F(n)代表第n个斐波那契数。也就是说,为了得到第100个斐波那契数,你不需要去计算前99个,而只需要把100代入公式。 值得注意的是,即便在计算过程中出现了许多根号和除法,最后的答案总是一个精确的正整数。 8. 巴塞尔问题  这个公式告诉我们,如果你取所有完全平方数并将它们的倒数和相加,你将会得到/pi^2/6。这是欧拉首先证明的。注意到这个式子只是在前面的第二个方程(欧拉乘积公式)中令s=2。后者是黎曼ζ方程,因此我们可以说ζ(2)的值是π?2;/6。 9. 调和级数  这个公式有点反直觉,因为它告诉我们,如果你把一些不断变小的数(最终趋向0)加起来,最后将会得到无穷。可是如果你是取它们的平方,和却是一个有限的值(答案是π?2;/6)。如果仔细观察调和级数,你会发现它正是ζ(1)。 10. 素数计数公式的显式表达  这个方程的重要性体现在: 素数是那些除了1和它本身以外没有其它因子的数。小于100的素数有2,3,5,7,11,13,17,19,23,29,31,37,41,43,47,53,59,61,67,71,73,79,83,89,97 。 由此可知,素数的出现没有显然的规律:对于一串连续正整数,有时候你会找到许多素数,有时候你会一个也找不到。找到很多或一个找不到似乎是完全随机的。 很长时间以来,数学家都在尝试给出素数分布的规律。上面的公式正是不大于一个给定数素数个数的显式表达。 以下是各个符号的意义: π(x): 素数计数函数。它给出了不大于一个给定数的素数个数。例如,π(6)=3,因为有3个素数不大于6:2,3,5。 μ(n): 莫比乌斯函数。它依据n的质因数分解而取值为0, -1或1。 Li(x): 对数积分函数。它被定义为函数1/lnt从2到x的积分。 ρ: 黎曼ζ函数的任意非平凡零点。 令人吃惊的是,整个公式的结果总是一个精确的正整数!这说明,给定一个实数,我们可以把它代入公式并得到不大于它的素数个数。存在着这样一个公式的事实说明,素数的分布存在某些规律,只是我们现在还不能理解罢了。
如何提高初中生学习计算能力<-->新初三学生学习经验三大总结
全网搜索"十个出人意料的数学公式"相关
|